image
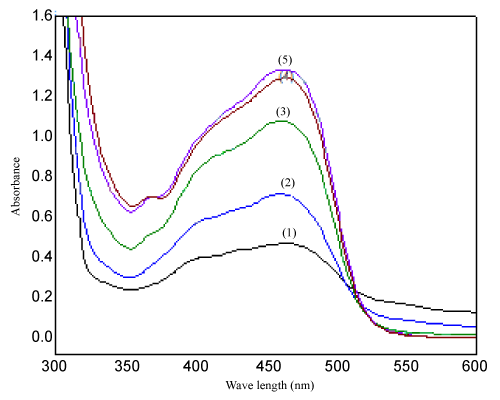
Figure 2: Absorption spectra of 7.5 mg/mL PPT in various percent concentrations of Tween 80 solution. The concentrations of Tween 80: (1) 2%, (2) 4%, (3) 6% from top were 10, 8.0, 6.0, 4.0 and 2.0%, respectively.
Goto home»