image
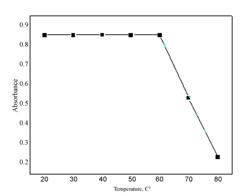
Figure 5: Effect of the temperature on the absorbance of the Pd(II)- PPT complex in a 4% Tween 80 medium at λmax 520 nm.
Goto home»