Quantum Physics, Optics and
Laser Technologies
Page 35
conferenceseries
.com
Volume 5
Journal of Lasers, Optics & Photonics
Physicists Congress 2018
May 09-10, 2018
May 09-10, 2018 Tokyo, Japan
International Conference on
Hydrodynamical aspect of the physical vacuum
Valeriy I Sbitnev
National Research Center Kurchatov Institute, Russia
A
t present, we imagine the physical vacuum as a superfluid quantum medium containing enormous amount of particle-
antiparticle pairs arising and annihilating continuously. It is the Bose-Einstein condensate existing at super low
temperatures of the cosmic space. OK, let it be so. Then a motion of this cold superfluid quantum medium can be described
in the non-relativistic limit by pair of equations - the Navier-Stokes equation and the continuity equation. However, the first
equation describes motion of a classical viscous fluid. We need to modify this equation. The modifications concern to the
pressure gradient
▼
P and to the term incorporating the viscosity of the fluid. The modification of the pressure gradient leads
to appearance of the quantum potential, Q, which turns out to be equal to the pressure divided by the density distribution, ρ.
Namely, Q=P/ρ. As a result, the above-mentioned pair of equations leads to emerging the Schrodinger equation when defining
the wave function in the polar form bearing information about the velocity, v, of the fluid and the density distribution. With
regard to the modification of the viscosity, it would seem that, in the first approximation, we could discard it. This is not a good
idea. Instead, we suppose
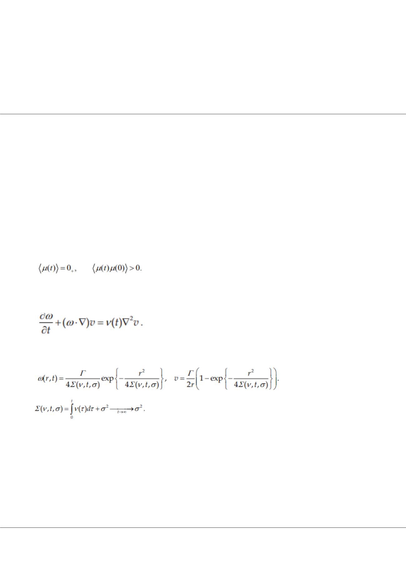
1
That is, the viscosity coefficient is a parameter fluctuating about zero. It means that there is an energy exchange within this
superfluidmedium. It is the zero-point energy fluctuations. By multiplying the modified Navier-Stokes equation by the operator
curl, we come to the vorticity equation
2
This equation in the cylindrical coordinate system permits to consider the vortex in its cross-section geometry. Solutions for
the vorticity ω and for the angular velocity v are as follows:
3
4
Here Γ is the integration constant and ν=μ/ρM is the kinematic viscosity; ρM is the mass density of the superfluid medium, and
σ is an arbitrary constant such that the denominators in equation (3) are always positive. The solution (3) is non-decreasing
in time and has a non-zero vortex core slightly fluctuating in time. It comes to the Gaussian coherent vortex cloud with time.\
olga.sbitneva@gmail.comValeriy I Sbitnev, J Laser Opt Photonics 2018, Volume 5
DOI: 10.4172/2469-410X-C1-020




