Effects of Aqueous Colchicine on Morphological Characteristics, Yield and Quality of Mulberry Varieties
Received: 22-Nov-2023 / Manuscript No. ACST-23-120853 / Editor assigned: 25-Nov-2023 / PreQC No. ACST-23-120853 (PQ) / Reviewed: 09-Dec-2023 / QC No. ACST-23-120853 / Revised: 03-Feb-2025 / Manuscript No. ACST-23-120853 (R) / Published Date: 10-Feb-2025
Abstract
Several mulberry varieties are available in nature, but they lack one or the other economic characteristics required for rearing Bombyx mori silkworms. To improve these economic characteristics, the use of colchicine has been recommended. This study assessed the morphological traits, yield, and quality of mulberry accessions after treatment with aqueous colchicine at different concentrations. These traits include leaf size, petiole size, leaf area, leaf weight, and leaf crude protein contents. The experiment was laid out in a Completely Randomized Design (CRD) with six treatments and replicated four times for the accessions selected. Effects of different concentrations of aqueous colchicine (0.1-0.5%) on therefore mentioned traits assessed. An increase in leaf area was noted at 0.2%, an increase in petiole length and a higher number of leaves that were thick and dark green were noted in colchicinetreated plants. These changes in morphological characteristics resulted in increased leaf yield of the accessions used. However, reductions in shoot height and inter-nodal length were observed in treated plants. Proteins were noted to increase in all varieties at 0.1%. These results revealed that the mulberry accessions recorded a decrease in the growth parameters at 0.5% colchicine concentration, in which 80% of the plants showed slow growth.
Keywords: Mulberry; Accessions; Morphology; Colchicine
Introduction
Mulberry, (Morus sp.) which belongs to the Moraceae family, is an economically important tree grown commercially in India, China, Japan, and other Asian countries as the feed for domesticated silkworms (Bombyx mori L.) [1]. Its leaves are also used as foliage for livestock, as a vegetable, and for landscaping [2,3]. Moreover, its roots and leaves have medicinal properties [4]. Their fruits can be eaten, in addition to their use in making jam, pulp, and wine [5].
The sericulture industry in Kenya has been facing a challenge for many years in the production of silk due to the low quantity and quality of mulberry leaves. To produce silk, domesticated silkworms must be fed with high-quality mulberry leaves since they are their sole feed.
High quantity and quality leaves required by silkworms have been shown to be obtained using various biotechnological techniques adopted for the improvement of plants [6]. One such technique is the use of colchicine treatment. The mulberry plant colchicine treatment has been used to induce polyploidy [7,8]. Colchicine is an alkaloid extracted from seeds or corm of the autumn crocus plant (Colchicum autumnae) [9]. It induces morphological variations by inhibiting spindle fibers during the anaphase stage of mitosis. As a result, mitosis is inhibited leading to an extra set of chromosomes [10]. Polyploids have proven to increase the yield and produce nutritious superior leaves used for feeding silkworms, boosting yield in the sericulture value chain [11].
The quality of leaves has a direct impact on the characteristics of cocoons produced by silkworms. Silkworms fed on succulent and protein-rich mulberry leaves produce heavy and large cocoons [12]. Research has shown that mulberry leaves treated with 0.4% colchicine solution have beneficial characteristics like an increase in leaf area and thickness, dark green leaves, and an increased ratio of length to width [13].
However, it has also been noted that higher concentrations of colchicine (0.5%) lead to a low percentage of germination in cowpeas (Vigna unguiculata) because of its inhibitory effects [14].
The effectiveness of colchicine in inhibiting mitosis causing a doubling of chromosome numbers has been demonstrated by many investigations done in fruit crops like peaches, grapes, and straw berries, and in floricultural crops like Zinnias, Petunias, Easter lilies, and cosmos. On the other hand, in vegetables, it has been done in crops such as tomatoes, muskmelons, and lettuce. In many of these investigations, induced polyploids are superior to their diploid counterparts and have been introduced as commercial varieties [15].
In mulberry, polyploid induction has been shown to initiate high resistance to biotic and abiotic stresses due to the varieties being large, and different metabolic rates. However, they are infertile and have retarded growth. A comparison of morphological differences among diploid, triploid, and tetraploid mulberry accessions showed that polyploids have larger leaf lengths and width [16]. Moreover, their leaves have smaller length-to-width ratios, but their leaf areas were up to three times larger than their control counterparts [17].
Reports show that colchicine concentrations have an impact on the growth of plants, and it was observed that control plants were higher than colchicine-treated plants. They were also noted to have many branches compared to their diploid counterparts [18]. An increase in colchicine concentration resulted in a decrease in shoot length, as well as higher number of shoots with abnormal leaves. Polyploids have been reported to show higher amounts of total proteins compared to control plants, especially in 0.2% concentration of colchicine [19]. The increase in protein contents could be attributed to the reported gene expression increase in polyploid plants compared to diploid plants [20].
The present study aimed to assess the morphological characteristics and qualitative values of four mulberry accessions. Morphological characteristics and protein concentrations of treated plants were assessed. Based on the morphological characteristics evaluated, the results of the present study suggest that colchicine successfully induced polyploidy in the mulberry accessions studied. Thus, the need to verify this observation will need to be verified in future studies by examining chromosome numbers by microscopy or by measuring DNA content by flow cytometry.
Materials and Methods
Study site
The study was carried out at the Kenya Agricultural and Livestock Research Organization–National Sericulture Research Centre (KALRO-NSRC). It is situated in Murang’a country, 5 km North of Thika town and 43 km from Nairobi. It is within latitude 1°01’ South and longitude 3°04’ East at an altitude of about 1548 m above sea level. The climate is warm with mild temperatures with the average annual temperature and rainfall being about 19.8°C and 1200 mm, respectively.
Experimental design
Four mulberry accessions, Ex-Thika, Ex-Limuru, Ex-Ithanga, and Ex-Embu were used in this study. These mulberry accessions were selected randomly from those introduced and widely grown in Kenya. For saplings establishment, fifty mature cuttings of each of the four accessions each 15 cm long, were obtained from the gene bank at KALRO-NSRC and planted in plastic pots containing a mixture of soil and manure in a ratio of 3:1. After establishment, selection of 24 uniform saplings of each accession were used for the experiment. The experiment was laid out in a Completely Randomized Design (CRD) comprising of four accessions, subjected to six colchicine treatments, replicated four times in pots placed at 2 m by 2 m. Cultural practices such as weeding, irrigation, and pest control were frequently done to ensure the good health of the plants. The saplings were grown under uniform conditions to minimize environmental variation. After six months, pruning was done with secateurs to establish new shoots. After this, baseline data was collected for three months fortnightly followed by pruning of the mulberry plants.
Colchicine treatment and morphological data collection
Two weeks after pruning, different concentrations of colchicine (C22H25NO3, Sigma Aldrich), that is, 0.1, 0.2, 0.3, 0.4, and 0.5% were prepared using distilled water. Treatments were done by injecting the buds 1.0 ml to 3 buds on each sapling and tagged with a label while the controls were treated with distilled water, that is, 0.0% colchicine.
A repeat application was done after one week and the saplings were allowed to grow for a fortnight after which data on morphological parameters were collected every fortnight for three months on shoots, leaves, internode length, and petiole length. This was done on three randomly selected leaves and their average was calculated. For yield determination, the shoots were harvested, three and a half months after treatment, the weight of the leaves were measured using a weighing scale (ACS-30 digital weighing scale).
For leaf area, the length was measured from one end of the leaf petiole to the sharp tip of the leaf. The width of the leaf was measured from one margin to the other opposite side at the center of the leaf (broadest part). The product of the two (length × width) gave the area of the leaf, which is referred to as the Montgomery equation.
k=A/LW
Where, k is a constant (parameter fitted), A is the area of the leaf, L is the length of the leaf, and W is the width of the leaf.
Leaf crude protein content determination
Twenty-four samples from each of the four mulberry accessions were collected and dried in an oven (EYELA windy oven Wfo-1000) for 48 hours at temperatures of 70°C. They were ground and the three procedures of the Kjeldahl method of determination of Nitrogen were carried out. These procedures included digestion, distillation, and titration after which the leaf crude protein contents were estimated using a conversion factor of 6.25.
In digestion, the temperature of the boiling point of concentrated Sulphuric acid (H2SO4) was raised from 330°C to 360°C by adding Sodium Sulphate (Na2SO4) to the digestion mixture. The digestion occurred in two phases whereby in the first phase the digestion mixture was black in color and Sulphur (IV) Oxide (SO2) fumes were released. In the second phase, the digestion mixture cleared, turning light brown and almost becoming colorless, this was achieved by allowing the mixture to boil smoothly. At the clearing stage, nitrogen in the sample is converted to ammonia. The digest was then allowed to cool forming a light blue-green color.
The second step is the distillation; this was done by adding Sodium Hydroxide (NaOH) to the digested mixture. Ammonia (NH3) was then released by heating the flask. As the digestion mixture reaches the boiling point, Ammonia (NH3) was released and the generated steam was condensed in a water-cooled condenser. The water containing ammonia was then collected into Boric acid (H3BO3).
The third step was titration whereby Ammonia was then determined by back titration using Hydrochloric Acid (HCL). The ml of hydrochloric acid which turns the color of the mixture from green to brown was determined and recorded. Then the percentage of nitrogen present in plant tissues was determined using the formula below:
((S-B) × N × N.F × V ×100)/(WS × AS)
Where, S: The sample titre,
B: Blank titre
N: Normality of the titrant,
N.F: Nitrogen Factor
V: Volume of digest,
WS: Weight of Sample
AS: Amount of Sample distilled
Data analysis
The results obtained were subjected to a two-way Analysis of Variance (ANOVA) using R version 4.3.1 statistical software. Statistically significant differences were evaluated at p ≤ 0.05. Graphs and tables are used to present different morphological features among the four mulberry accessions. The normality test was done using the Shapiro-Wilk test. The equality of variance was done using Levene’s test.
Results
Colchicine-treated plants showed the following morphological features: Dark green leaves, large fruits and flowers, greater vigor, and thick broad leaves over control counterparts.
Internodal length
The mean lengths of internodes of the four mulberry accessions studied between the 4th and 14th week after aqueous colchicine treatment were analyzed as shown in the graph below. The results revealed that there was an increase in the length of internodes following colchicine treatment (Figure 1).
Figure 1: The effects of colchicine on the mean internodal length of the four mulberry accessions used. The means are statistically different at significance level P>0.05.
The highest mean in length was obtained at 0.3% concentrations of colchicine. The highest having 4 cm and above in Ex-Ithanga accessions. A reduction in internodal length was noted in 0.1% and 0.2% concentrations of colchicine. The internodal length was noted to show a progressive increase with an increase in colchicine concentrations up to 0.3%, and a decrease was noted in 0.4% in Ex- Embu. In Ex-Ithanga, a minimal increase was noted with an increase in colchicine concentrations up to 0.3% and a decrease in 0.4% and 0.5%. A slight increase with an increase in colchicine concentrations was noted in Ex-Limuru. A sharp decrease was noted in 0.1% colchicine concentration, then a progressive increase with an increase in colchicine concentration was noted in Ex-Thika. From the results above, colchicine increases the internodal length in mulberries.
Leaf area
The mean leaf areas of the four mulberry accessions after treatment with different concentrations of aqueous colchicine were shown in Figure 2.
Figure 2: Effects of different concentrations of colchicine on mean surface area of the leaves. Mean leaf surface area at different concentrations of colchicine is significantly different (P>0.05).
The highest mean surface area of the leaves was obtained at 0.2% concentrations of colchicine among the four mulberry accessions used. A sharp decrease in 0.3% concentrations of colchicine was noted in all accessions. Ex-Thika was noted to have a large surface area while Ex- Limuru was noted to have the smallest surface area. This is because naturally, Ex-Thika has broad leaves compared to other varieties hence the largest surface area. Even at 0.5% concentrations, Ex-Thika showed an increase in surface area while the other accessions showed a decrease. The highest mean surface area was achieved in the Ex- Thika variety at 0.1% colchicine (238.255 cm2) with a progressive drop in leaf surface area at 0.3%. The mean leaf surface area at different concentrations of colchicine is significantly different (P>0.05). The interaction between variety type and Colchicine concentration is significant (P>0.05). Figure 3 shows the effects of 0.2% aqueous colchicine on the leaf areas of (a) Ex-Limuru, (b) Ex- Embu, (c) Ex-Ithanga, and (d) Ex-Thika mulberry respectively. The three leaves in each case were obtained from the upper part, the middle part, and the lower part of the shoot. Colchicine was noted to increase the size of the leaves. Moreover, rough texture was noted.
Figure 3: Effects of 0.2% aqueous colchicine treatment on the leaf areas of (a) Ex-Limuru, (b) Ex-Embu, (c) Ex-Ithanga, and (d) Ex- Thika mulberry varieties.
Shoot height
The mean shoot length was noted to be high in 0.4% concentrations of colchicine in all mulberry accessions used. The mean shoot length at 0.4% was above 60 cm. Ex-Limuru was noted to have the highest shoot length while Ex-Ithanga was noted to have the lowest shoot length among the four accessions. When treated plants were compared to untreated plants, it was observed that treated plants increased in shoot length. Generally, we can say that colchicine increases shoot length in mulberries. The growth pattern in Ex-Embu showed a progressive increase with the increase in colchicine concentrations. In Ex-Ithanga, there was a slight decrease at 0.1% then an increase with an increase in colchicine concentrations. In Ex-Limuru, there was an increase at 0.1% and 0.3% while there was a decrease at 0.4% and 0.5%. In Ex-Thika, there was a slight increase at 0.1% then a decrease at 0.2 and 0.3%, and finally an increase at 0.4 and 0.5% (Figure 4).
Figure 4: Effects of colchicine concentrations on the four mulberry accessions. Mean shoot length was statistically different at significant level P>0.05.
Leaf petiole length
There was a significant difference in petiole length between treated plants and untreated. Based on the results above, there are no much variations in petiole length among four accessions used. However, the highest mean length was obtained from 0.5% concentrations of colchicine. Ex-Embu was noted to have the highest petiole length at 0.4% which was 4.5 cm. Levene’s test was used to test homogeneity of variance and it was noted, that there was a significance difference (p<0.05) in petiole length between the treated accessions and untreated ones (Figure 5).
Figure 5: Effects of colchicine concentrations on the petiole length. Mean petiole length is statistically different at P>0.05.
Leaf crude protein content
From the results above, protein concentrations were noted to increase in 0.1% concentration of colchicine when compared to controls. Ex-Embu was noted to have the highest percentage increase of crude proteins at 0.3%. When the percentage of proteins level was compared among the four accessions used, Ex-Embu was noted to have highest proteins level having 14.5%, followed by Ex-Thika 14%, the third was Ex-Ithanga with 12% and the least was Ex-Limuru with 11.3% (Figure 6 and Table 1).
Figure 6: Effects of colchicine concentrations on the protein concentrations.
| Variety/concentration | 0.00% | 0.10% | % increase in protein concentrations |
| Ex-Embu | 12.20% | 15.20% | 24.59 |
| Ex-Ithanga | 13% | 16% | 23.08 |
| Ex-Limuru | 11.20% | 16.70% | 49.12 |
| Ex-Thika | 12.50% | 15.20% | 21.6 |
Table 1: Different concentrations of proteins at 0.0% (controls) and 0.1% concentration of colchicine.
Protein concentrations increased in all accessions used and the average increase was noted to be 29.60%.
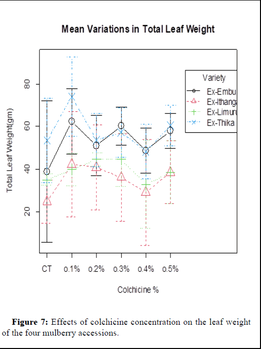
Yield
The weight of the leaves (yield) showed a significant difference at p<0.05 between the weight of the control and the treated plants.
From the results above, 0.1% concentrations of colchicine was noted to have the highest mean weight. There was an increase in leaf weight in all accessions used, the highest weight was observed in Ex- Thika, followed by Ex-Embu. The increase in weight could be attributed to increase in surface area and also increase in water content in leaves. The lowest weight were observed in controls, while the treated plants had a mean weight of above 40 grams. This shows that colchicine increases the weight in leaves (Figure 7).
Figure 7: Effects of colchicine concentration on the leaf weight of the four mulberry accessions.
The mean weight was statistically different at significance level P<0.05. Variety is not significant. Colchicine and the interaction are statistically significant at p<0.05
Discussion
It was noted that colchicine has an impact on the length of the internodes. In Ex-Embu, Ex-Limuru, Ex-Ithanga, and Ex-Thika, 0.3% concentrations of colchicine increased the internodal length while the other concentrations showed a decrease in internodal length. Many polyploid plants are relatively more vigorous; have short internodes; broad, thick, dark green leaves, resulting in greater biomass or crop yield per plant. A reduction in internodal length was noticed in 0.4% and 0.5% which is in line with earlier reports. Length of internodes distance is attributed to total foliage in production. In some populations of M5 treated with 0.4% and 0.5% concentrations, short internodes were observed. Early studies reported that internodal length has shown no marked variation among the generations except that they decreased with an increase in colchicine concentrations. In sesame, the corresponding lengths of internodes showed no marked variation among the generations except that they decreased with an increase in colchicine concentrations.
There was an increase in leaf surface area in 0.2% concentrations of colchicine. Ex-Thika was noted to have the largest area as compared to other accessions. The reason Ex-Thika showed the largest leaf area is that naturally, their leaves are large and broad. Also, Ex-Limuru picked up the colchicine well and that is the reason their area increased more compared to the other varieties. Colchicine is known to increase leaf surface area since polyploid plants are known to have large and broad leaves. Beneficial traits such as thick, succulent, and dark green leaves with prominent veins were also found associated with the increased leaf area. From the results obtained in this study, 0.2% concentration was noted to increase the leaf surface area in mulberry, which is in line with other studies which show that the optimum concentration for induction of tetraploid plant is 0.2%. Studies have shown that increase in leaf area is due to the increase in the cell size of the polyploid tissues.
The mean shoot length was noted to be high in treated plants as compared to controls. The shoot length was high in 0.4% concentration of colchicine. The entire treatment group showed a significant increase in plant height in comparison to the control. Ex- Thika and Ex Limuru showed an increase in 0.1% concentrations of colchicine which is in line with other studies which have been done. The mulberry variety of M5 showed a decrease in plant height with an increase in concentration except a slight increase was observed in 0.1% concentrations.
The mean shoot length was noted to be high in treated plants as compared to controls. The shoot length was high in 0.4%concentration of colchicine. The entire treatment group showed a significant increase in plant height in comparison to the control. Ex-Thika and Ex Limuru showed an increase in 0.1% concentrations of colchicine which is in line with other studies which have been done. The mulberry variety of M5 showed a decrease in plant height with an increase in concentration except a slight increase was observed in 0.1% concentrations.
Colchicine was noted to increase the leaf petiole length, unlike other parameters discussed above leaf petiole increased with an increase in colchicine concentrations. 0.4% and 0.5% were noted to increase the petiole length in colchicine-treated plants. Studies have shown that colchicine is effective at 0.4% and 0.5% concentrations in improving mulberry varieties. Reports have shown that 0.4% and 0.6% colchicine concentration is effective in inducing tetraploids by treating the apical buds of the mulberry. In colchicine-treated plants, the leaf petiole became slightly thicker and elongated.
Colchicine is known to increase the weight of leaves. In this study, 0.1% concentrations of colchicine were noted to increase the yield in mulberry accessions. The increase in weight could be attributed to the succulent and large surface area of the leaves. The treated varieties were noted to have high yield compared to untreated varieties which had low yield. There was a significant difference between the controls and other treatments and among treatments. Other studies have shown that the heaviest weight of plants was observed at colchicine concentrations of 0.3% which yielded 4.58 g. Reports have shown that the weight of the leaves reduces with an increase in colchicine concentration. Mesophyll cells in tetraploid plants appeared more compact and showed fewer intercellular spaces along with the increased size of vascular bundles, which lead to an increase in the weight of the leaves. Total foliage yield per plant and average weight of leaves have been found to increase in the induced polyploidy mulberries over control counterparts. In Gladiolus grandiflorus (white prosperity) an increase in fresh and dry weight was achieved at 0.1% and 0.3% colchicine concentration.
The Kjeldahl method for the determination of proteins was used with a conversion factor of 6.25 times the N content. There was a significant difference (P>0.05) between treated plants and untreated ones. The study above shows that colchicine increases the protein contents in a leaf. Treated varieties were noted to have higher concentrations of crude protein than the controls. According to this study, the optimum concentrations of colchicine which increases protein contents in mulberry leaf was noted to be 0.1%. Tetraploid plants have been noted to have higher amounts of total proteins, total flavonoids, and starch in comparison with diploid plants. Nutritive contents like minerals, proteins, moisture content, reducing sugars, and chlorophyll contents have proved to be high in varieties of mulberry treated with 0.1% and 0.3% concentrations of colchicine which is in line with this study. Reports have shown that the highest concentrations of proteins were observed in plants treated with 0.2% colchicine while the lowest was observed in control plants. The increase in proteins might be contributed to the reported gene expression increase in polyploid plants compared to diploid plants.
Conclusion
The colchicine-treated plants showed different morphological variations when compared to controls. Generally, we can conclude that low concentrations of colchicine increased most of the leaf parameters. Leaf area was noted to increase in a colchicine concentration of 0.2%. An increase in leaf weight was achieved by a colchicine concentration of 0.1%, while protein concentrations increased at 0.1% concentrations of colchicine. Colchicine-treated plants were also noted to be dark green, crinkled, and with a rough texture. By assessing the morphological characteristics, aqueous colchicine increased the yield and the qualitative value of mulberry accession.
Conflict of Interest
The authors declare that they have no conflicts of interest.
Acknowledgment
This work was supported by the KALRO–National Sericulture Research Center and Mount Kenya University.
References
- Vijayan K, Raju PJ, Tikader A, Saratchnadra B (2014) Biotechnology of mulberry (Morus L.)-a review. Emirates J Food Agric 26: 472–496.
- Yu Y, Li H, Zhang B, Wang J, Shi X, et al. (2018) Nutritional and functional components of mulberry leaves from different varieties: Evaluation of their potential as food materials. Int J Food Prop 21: 1495-1507.
- Chang LY, Li KT, Yang WJ, Chung MC, Chang JC, et al. (2018) Ploidy level and their relationship with vegetative traits of mulberry (Morus spp.) species in Taiwan. Sci Hortic 235: 78-85.
- Koyuncu F, Cetinbas M, Erdal I (2014) Nutritional constituents of wild-grown black mulberry (Morus nigra L.). J Appl Bot Food Qual 87: 93-96.
- Yuan Q, Zhao L (2017) The mulberry (Morus alba L.) fruit-A review of characteristic components and health benefits. J Agric Food Chem 65: 10383-10394.
[Crossref] [Google Scholar] [PubMed]
- Chanotra S (2019) Role of biotechnology in mulberry improvement. J Pharmacogn Phytochem 8: 1126-1129.
- Yavari S, Omidbaigi R, Hassani ME, da Silva JA, Baba MF (2010) Comparison of four different treatment methods with colchicine to induce chromosome doubling in dragonhead (Dracocephalum moldavica L.‘SZK-1’). Med Aromat Plant Scie Biotechnol 4: 55-58.
- Omidbaigi R, Yavari S, Hassani ME, Yavari S (2010) Induction of autotetraploidy in dragonhead (Dracocephalum moldavica L.) by colchicine treatment. J Fruit Ornam Plant Res 18: 23-35.
- Shahriari-Ahmadi F, Dehghan E, Farsi M, Azizi M (2008) Tetraploid induction of Hyoscyamus muticus L. using colchicine treatment. Pak J Biol Sci 11: 2653-2659.
- Chaikam V, Gowda M, Martinez L, Ochieng J, Omar HA, et al. (2020) Improving the efficiency of colchicine-based chromosomal doubling of maize haploids. Plants 9: 459.
[Crossref] [Google Scholar] [PubMed]
- Bukhari R, Kour H (2019) Polyploidy in agriculture: With special reference to mulberry. J Pharmacogn Phytochem 8: 1795-1808.
- Malik FA, Reddy YS (2007) Role of mulberry nutrition on manifestation of post cocoon characters of selected races of the silkworm, Bombyx mori L. Sericologia 47: 63-86.
- Ramesh HL, Murthy VY (2014) Induction of colchiploids in mulberry (Morus) variety Kajali in C1 generation. Int J Adv Res 2: 468-473. [Crossref]
[Google Scholar] [PubMed]
- Essel E, Asante IK, Laing E (2015) Effect of colchicine treatment on seed germination, plant growth and yield traits of cowpea (Vigna unguiculata (L.) Walp). Can J Pure Appl Sci 9: 3573-3576.
- Nakasone HY, Kamemoto H (1961) Artificial induction of polyploidy in orchids by the use of colchicine. Tech Bull Hawaii Agric Exp Station 42: 1–27.
- Mo L, Chen J, Lou X, Xu Q, Dong R, et al. (2020) Colchicine-induced polyploidy in Rhododendron fortunei Lindl. Plants 9: 424.
[Crossref] [Google Scholar] [PubMed]
- Dixit V, Chaudhary BR (2014) Colchicine-induced tetraploidy in garlic (Allium sativum L.) and its effect on allicin concentration. J Hortic Sci Biotechnol 89: 585–591.
- Shala A, Deng Z (2018) Investigation of morphological and anatomical changes in Catharanthus roseus (L.) G. Don due to colchicine induced polyploidy. Sci J Flowers Ornam Plants 5: 233–243.
- Mansouri H, Bagheri M (2017) Induction of polyploidy and its effect on Cannabis sativa L. Bot Biotechnol 365-383.
- Hemadesh I, Shahriari F, Farsi M (2020) Evaluation of tetraploid induction in forage sorghum cultivar “Omid-Bakhsh” using colchicine treatment. DYSONA-Appl Sci 1: 1-10.
Citation: Beatrice CT, Linah M, Purity G (2025) Effects of Aqueous Colchicine on Morphological Characteristics, Yield and Quality of Mulberry Varieties. Adv Crop Sci Tech 13: 784.
Copyright: © 2025 Beatrice CT, et al. This is an open-access article distributed under the terms of the Creative Commons Attribution License, which permits unrestricted use, distribution and reproduction in any medium, provided the original author and source are credited.
Select your language of interest to view the total content in your interested language
Share This Article
Recommended Journals
Open Access Journals
Article Usage
- Total views: 293
- [From(publication date): 0-0 - Nov 07, 2025]
- Breakdown by view type
- HTML page views: 210
- PDF downloads: 83







